首页  师资队伍  本科教学  研究生教育  科研管理  国际交流  党建工作  团学工作  招生工作  社会服务  文件下载 
首页
 学院信息 
学院通知
当前位置: 首页>>学院信息>>学院通知>>正文
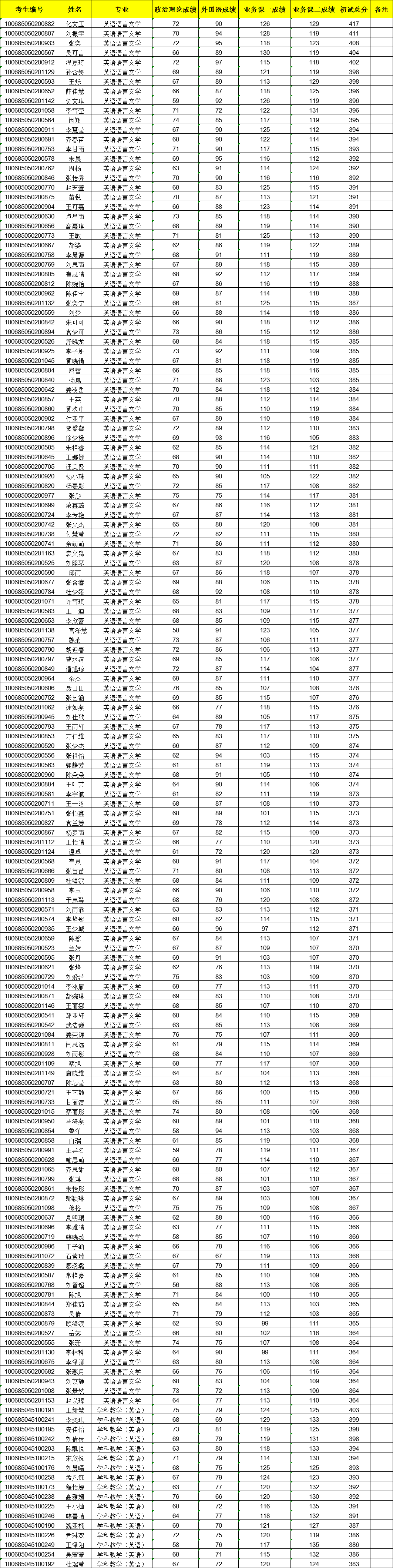
bat365在线平台官方网站2025年硕士研究生复试名单
2025-03-20 08:40     (阅读次数:)

关闭窗口

版权所有: bat365(中国)在线平台官方网站-登录入口   |   
地址:天津市河西区马场道117号   邮编:300204 
电话:022-23288523   传真:022-23281796   邮箱:ses@tjfsu.edu.cn